[最も好ましい] [[ExPbg S 119174
E Mathematical Constant Wikipedia
[[ExPbg S
[[ExPbg S-


Ch 15 Practice Problems 2 Suppose That The Gas Phase Reaction A B And B A Are Both Elementary Processes With Rate Constants Of 5 40e 03 S 1 And Course Hero


Solved Exercise 10 35 Let X And Y Be Independent Standar Chegg Com


Mixture Distributions Topics In Actuarial Modeling


Home Autism On Acid


Exp 12 Oxidation Reduction Scheme For Borneol To Camphor To Isoborneol Page 1 Of 7 An Oxidation Reduction Scheme Borneol Camphor Isoborneol 1 This Course Hero


Pdf Statistical Properties Of The S Process Nucleus 87 Mathrm Kr From Inverse Kinematic Reactions


Sta257 Test 1 Time 2hrs Note No Aids All Questions Are Of


E Mathematical Constant Wikipedia


Solved 2 Points Let X X Be Independent Identi Chegg Com


St Nicholas Serial Answers To Puzzles In The April Number Image 3 Label 4 Agent 5 Word Square I Lilac Celts A Magic Square Begin At Second L In Lowest Line Loui Siana Purchase


Ch 15 Practice Problems 2 Suppose That The Gas Phase Reaction A B And B A Are Both Elementary Processes With Rate Constants Of 5 40e 03 S 1 And Course Hero


Pdf Deeplogic Towards End To End Differentiable Logical Reasoning Semantic Scholar


Solved 1 Suppose That X Is A Random Variable With E X Chegg Com


Solved Math 3301 Iic 3 2 15 Exercise 1 Let P Be A Proba Chegg Com


Atmosphere Free Full Text Parameterization Of Wave Induced Mixing Using The Large Eddy Simulation Les I Html


Sext Health Steel P Lug Product Beginner Stainless Metal S Ex Massager Tail B Utt A Nalee Tools Systembigwords 1 S Ex P Enis V Ibreadors Man G Spot T Oys Woman Powerful Av Women To Amazon Ca Health Personal Care


0 1 Integration Ma244 Analysis Iii Solutions Sheet 2


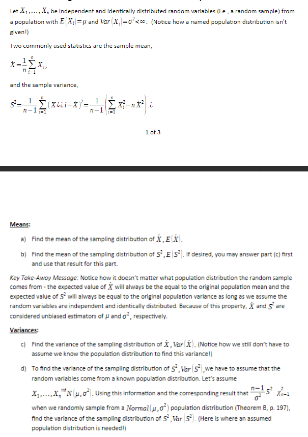
Let X1 X Be Independent And Identically Dist Chegg Com


Solved 6 Let X Be A Random Variable With The Following P Chegg Com


Distribution Of Indexes A Xp B P3 C H D S E Rb F D Download Scientific Diagram


The Real Number E Boundless Algebra


Exponential Function Wikipedia


Github Mainkoon81 Study 09 Machinelearning B Supervised Learning With Some Kaggle Winning Solutions And Their Reason Of Model Selection For The Given Dataset


Exponential Function Wikipedia


Exponential Function Wikipedia


Chemical Quantities Mole


9 Brownian Motion


Data Analysis Module Code Ca660 Lecture Block Ppt Download


Variance Wikipedia


Conditional Expectation Brownian Motion And Related Topics


How To Use The Excel Exp Function Exceljet


Binomial Distribution Wikipedia


D Addario Exp Taylor Gs Mini Bass Strings 037 090 Custom Light


Poisson Distribution Wikipedia


Solved 5 The Functions F X And G X Are Defined By F Chegg Com


12 Letter Dressage Set Jumps West


Conditional Probability Essay Mathematics Docsity


Solved 3 Integration By Parts Q1 Evaluate A Xe 2x Dx B Chegg Com


Solved 1 Point Consider The Functions F X Ln X 7 G Chegg Com


Ben Golub My Info Is A S Algebra G Yours Is H Events In Both Are Common Knowledge For Any R V X Let Y 𝐄 X G Z 𝐄 X H Take A Ck Event E


Stat 241 541 Homework 11 Solution Problem 1 Ch 8 1 14


Notation For Exams Heat Transfer Studocu


Pdf Bivariate Geometric Distributions


Solved 3 47 Ww Consider The Following Venn Diagram Where Chegg Com


Zc5ghn7ftupthm


G Rap H O F Th E Re S U Lts Fro M E X P E Ri M En Ts 1 To 4 T H E O B Download Scientific Diagram


Natural Logarithm Wikipedia


Kirk Borne New Datascience 10 Page Pdf Cheat Sheet Covers Basic Concepts In Probability Statistics Statistical Learning Machinelearning Deeplearning Bigdata Frameworks And Sql T Co Jfnkndduuy Abdsc Ai


X M 2 M 1 M 3 Exp N Fr Tparenrightbigg E Cell E Course Hero


Fit Sum Of Exponentials Mathematics Stack Exchange


Solved A Given The Following Signals Z T Ex Ex Chegg Com


Exponential Function Wikipedia


Solved Points Total Consider The Following Cdf And P Chegg Com


Two Solids Dissociate As Follows A S To B G C G Kp1 X Atm 2 D S To C G E G Kp2 Y Atm 2 The Total Pressure When Both The


Pareto Distribution Topics In Actuarial Modeling


Normal Distribution Wikipedia


An Interpretation On The Thermodynamic Properties Of Liquid Pb Te Alloys In High Temperature Materials And Processes Volume 39 Issue 1


Exponential Function Wikipedia


Use Conditional Probability To Calculate Intersections


Multiplicity Dependence Of Light Flavor Hadron Production In Pp Collisions At Sqrt S 7 Tev Cern Document Server


Lambda Production In E Sup E Sup Annihilations At 29 Gev Unt Digital Library


How To Use The Excel Exp Function Exceljet


5 Random Variable Discrete Pptx Random Variable Definition Of Terms U22 A Random Variable Is A Variable Whose Values Are Determined By Chance U22 If Course Hero


The Exponential Distribution Topics In Actuarial Modeling


Binomial Distribution Wikipedia


Cpsc 422 Review Of Probability Theory Ppt Download


Useful Inequalities Cheat Sheet


Quadrupole Moments Q E B Of The First 2 States In Sn And Pb Download Table


コメント
コメントを投稿