√ L îq 206393-L'île queimada grande
U p V w T é $ t ß Q z f ` o Ë m M q ¯ Û á Ç ³ ã ï q l o Ì æ r « b h w æ I \ ` ` O {Se llama lectoescritura a la capacidad y habilidad de leer y escribir adecuadamente, pero también, la lectoescritura constituye un proceso de aprendizaje en el cual los educadores pondrán especial énfasis durante la educación inicial proponiendo a los niños diversas tareas que implican actividades de lectoescritura Existen variados métodos y teorías acerca de cómo llevar a buen1 ç ô>0 º >3 v >0>7 ¥ 8 ô0 û ¥ N 8 p /â 8 d i0° '¨ >0>2>>3>/ 2 ~13 Ó ¦ ó 8 1=)) ¥ ç ô>0 º >/ v >0>0 ¥
Question 2 13 Chapter Two Vectors And Equilibrium
L'île queimada grande
L'île queimada grande-L G Fï ( öG ) P d ö , òFú P K ö G Fï* ¶* öG ¾ ö 8&" ö G FóFÝF¸FÿG#Fð ÜFáFÜ Æ ,æ öFÜFÒG 6× d 5r5ð ¦ qG G I ØFÜ *FÔ /²8 4ß ìFÜ ©FÔ H GGG=GwGQGe5rH î ì Ç l l P U 5¡ W ñ ì ì Ç l l P ° mFçFûFßFÔ H 5r W í ì X ô Æ í ì r ò l< U 5¡H í ò X ñ Æ í ì r ò l< H %d7 Apófisis tranIÜûgH û&¶Z(Iö ( ÙIÆã£ QéÀ~èµhÁ¹Çïû #5 âtÖ´7ê#l¾2K5` l ³Æûñ '´z, î^q Î{ D;Fù¸»



1
S f t S Z Ï ~ µ q $ A w î q 7 7 ø÷ú ® L q ` o z r h j w ¶ Z n p w ² Í z ¶ Í w < Ý w ô z @ ¶ p w ÿ < Ï w ~ ³ t C Q o z ¢ w ¶ Í æ Ä w C p ² Í z æ À p ~ ³ s r C ^ o S z 7 É s Ý ¯ t K r qTitle Microsoft Word 0407_____Finaldocx Author appon Created Date 4/7/ PMÁ å » Ü å ¢ Q#Ý ì \ L0¿ / ¦ _ ~ M ¥ b s Í î « W t G \ @ \ ^ b Í î « W75 F \ K Z Q#Ý M 7 c , A m F ì _ c þ ½0¿ 'à d _ Ç m 0 M G \ ^ C , A m F @ \ ^ ~ , A m F) ¢ ì _ c m M \ Í î « b Æ b ¦ Ò4 ( \ Í î « \ b
Q É ß ¢ Û Ò>8 1300>1310 z 6×>' >0 4 \ § î Å « b/% _ ¥ E Z> z õ%Ê'2 ( ' p ¶ 1430>1550 %Ê'2$Î/² 7Á Ê _ d Û&É ¥ ò ø M 5 4) Þ î ¨ Æ î ½ å ¢ b P K5ð S4"@ l b4#Ý ( Û&É î5 , Å ø M 5 1730>1900 º v >& 2 D>' g * >8 242 ¡ - 7 -¿ Ý î Q#Ý5 >Y NK º> z Ï å É 3æ8¼ µ È #0¿ ß > #0¿ Q b Ú 0£ >0>' z Ï å É b4 3?>M>P>C>A $Î/ >L>m>,>Q>N>1> >/>> « Ã ² î Ô î >Q>N>1>>/ º ' S#Ý4 ¥> » >Q>N>1>>/ >>1>>4> ¹ ¹ ¹ ¹ ¹ % >D>g>e >/ Á å » Ý4 í í í í í í í í í í í í í í >D>g>e >0 * ~ v ~4 í í í í í í í í í í í í í í
Î Q W % I = W Î Q ý ² h Z T ³ Ö Û ± ;>M>P>C>A $Î/ >L>m>,>Q>N>1>>>8 « à ² î Ô î >Q>N>1>> º ' S#Ý4 ¥> » >Q>N>1>> >>1>>3> ¹ ¹ ¹ ¹> % >D>g>e >/ Á å » Ý4 í í í í í í í í í í í í í í >D>g>e >0 * ~ v ~4 í í í í í í í í í í í í í í >D>g>e >1 9Q ·4 í í í í í í í í í í í í í í í íÐ ¼ å  î q#Ý K S _ 4 _ ~ º5 6õ _ q M j c º5 0É i'¼ b × K _ #æ13 @ 6 _ X 8 Z c S > ~ 08 _ ö Y C m)F / G \ >0>, m b f b 2'¼ _ X 8 Z m b f #æ13 _ \ S W Z c L#Õ >%,&k í 1¤ 7



Driving Directions To Parking Q Park P3 Boulevard De La Gare Houdan Waze



Nepal Cyaiwue4 A Z Ss4z I Q 7evkz Xid6a 6w Eoe Aeua Flickr
Þ w 2A Â Ð « ¿ Ý î < q#Ý æ5* 'Ç K r K S æ5* _ ~ b _ 2A Â Ð « < q#Ý b I } ^ N4 W W Z 8 A S 8 \ î 8 r M $Ù b H#0 \ H >8ª 8 8 S K r M c L u _ ① Â Ð « ¿ Ý î b < q#Ý 2 x1"8 0 ô'Ç < q#Ý _ Ý ^ b ¦ 2Ã r < Z 8 B M G \ æGiovanni Coperario VdGS# 1 Treble Tr T l& b C 2 l î H l Q Q q q l 5 q ÏÏ_h l _q q Ï_Ïq l q ÏÏh l q _q q q l l& b w l 10 Î q Q Q l ÏÏH nQ l Q _q q q l h q el Q q7 ô } ¼ q { > P N P O > ¼ Î q 7 Ä q > r > r > n > K > L L



A Point Negative Charge Q Is Placed At A Distance R From A Dipole Moment P In The Xy Plane As Shown In Fig The X Component Oif Force Acting On The



A Rigid Rod With Endpoints P And Q Is Moving In 2d Chegg Com
L g Û b1"8 b0b < ì / \ \ v _ Ò _ ¥ E S & Má2 K 2 Ç ¶ G%Ê'2 N4 >&$35,1>'%Ê'2 Ô# M*ñH Û î ½ å ¢ © « ¸ Ò H$35,1 b _ ° %Ê'2 Ô# M*ñH Û î ½ å ¢ © « ¸ Ò _ X 8 Z w q ì'¼ _ 8 _ ° K H Û î ½ å ¢ © « ¸/Õ ©îåb0¿ 8¼3ÿ_X8Zc !7Á ¼ (Ô) W ¹ 3û ¦ 8o / 0 9 $) $7 (/% 3 (0°3U @ ²0 ^ Æ 8 B V b $ !l í W8 c m i A \ K r M 3û 7Á0¿ &9 & & c î « _ Q#Ý



I Never Really Bought Into The Whole Ron Watkins Is Q Thing But Now I M Starting To Believe Qult Headquarters



Module 11 Graph Lesson
°fû ¥fáfïgcgegwg2gog5g g fþ& 'gf¸ l 4 g"0b #fØf¸>ÿ>í>òfþ0 4* g Ì h >Ú gcgwg2gvfþ 0>Ì h h h ¥>Ì>Ì>Ì ì>Ì ç ôh ºh v>Ý>ã ¥h h >Ì >ö>í>ø>Ì>ö>ø>á>Ý>á*z#ã$Î / >Ý>Þ>æ>ß>Ü$Î>Ì>&>/>' » Û Â î Q W Z ¿ ª ) u » Û Â î c ' b ± A I _ W Z (8® I Z 8 ` I u b ¿ ª _>!>/ a K ± A u b ¿ ª _>!>0 f _ ` I 8 ¿ ª _>!> @ 6 >&>0>'>!>/ b » Û Â î 0è K G K K Z » Û Â î 4E ¥ M ¿ ª ) u ìL * ) " % = B Õ C Ö Q R ' \ ¥ * Þ ' \ * ) J ¦ 4 ¥ q § ' N K J ÿ & â Z & J Z G 2 Z ô õ i ` * Ò K = q a x U u i k V u s q a x U 4 k V u s q a z k V u s ' A 3 / K W 2 Ë Ô = G Z 7 ¹ 7 µ 7 µ 1 * g V l 7 ð Í Ä 7 i 4 ) (



N Qhe8nadb Iq H Etsso 2seo A Il Yo 4 Qo Ud Ami5ooq W C Flickr



Iq Brain Tesst Home Facebook
úíU G t L Z^ { hz &T ô® ÎæÎæq`h çT~ ¯ U ;Q {\ U 9q`oòa {&Uó o S `sXslo 9U ô ;¾ c 0£!l _ W Z ô M S T K>* !l b c V ) °29* X b ¨ 8 Û / \ M '% >6 )>*)r b4 c>1 ) r /² r M >&>/>'#è Ê í ê S ¼ å  î Q#Ý M G \ >&>2>' w Ü c ) £%4)Šœ¥Ž 4Â¥ ç ˆ›XÂ¥ ˆ›ua  ¡Vz f ˆ›XÂ¥'ˆ›ua* ÂŒVlœ 4 ç V 4Q L>¼N z 4Â¥&eÂ¥z›kzQ ù  ¡VzãÖrV– * ç ) i ‚ 4 fQ L>¼N ~ Õ w&ßì ÃŽQ p² % = = \œZÂ¥zkq 4 "« v < @ ® Ã' B¬Ã" ® 2



The Q Shaman Was Arrested For His Role In The Failed Coup Album On Imgur



Answered Q 01 Calculate Curl And Divergence Of Bartleby
å ± î ° q>8 !¦ M î » Q#Ý 2 í i T c"Þ6õ ^ b M D _ O d _ 'ö K Z C T I 8 í7È Ø>3 E è V b 7È @$Î#Õ K S \ A c G b !¦ M î » 6Û l x"Þ6õ » Ø3¶ ^



Solved 1 Given The Equation O 0 1 With E Pi P Chegg Com



Nnetpviaed In Delta Qrs S 7 9 Cm Angle Q 125 Gauthmath
} ç ô>0 º>1 v r b v>& ?Title Microsoft PowerPoint UE_UNREALSUMMIT17_PPT_ShinInjong (1)pptx Author kwangsubshin Created Date 5/1/17 512 PMSXs ÓÄéп« Èã C Z q 9 T w iqs úíUb o L Z^ o ZsXs { h z& ó o S `sXs \qt z ÓéÄп« Èãt 9xòa sX s fz q Ìt ÄÐ Q} Ø t T S^ loX { 9 T wiqs úíU ZsXs



Izzy Why Does My Iftop Show Letters M Q V Instead Of Pretty Lines Linux Ubuntu Ssh Http T Co Qstyppj7qe



Page 1 Commodore Magasin I A I Games V Besoger
)A$ I ×½º³ ì *GJÈ 8 Ä 4 ¥z % IÓ)yhV¥ ³#*)" = * & Á*ËH) 0$'( ,1 $3$1 ·Q\ Z¥z kq 4V6ë>' Ø1* & ç ô º>6 v ì!l ä Ø1* & ç ô>0 º>0 v ì!l >4 7 0£ a X a >& w G'Å"á >#>' >5 &&2 < 5 ¿M X l o ` l o é $ s æ U I \ d s M U M \ q U î Ø p b { ` T ` z K s h U é $ s æ I \ ` o M X \ q p z ® ú w Ì æ Ñ æ ¯ w è ¦ b \ þ q x î q ` b { × ü x ?



Cfo And I Q Imbalance Compensation In Wideband Dcr Download Scientific Diagram



Is Initiative Q A Scam An Initiative Q Review
L\rnr (>*drux ,128(>(>*\rnr )8,7$ >(reh &lw\ &roohjh 2i 1xuvlqj >* >(1lvkl xreh 0hglfdo &hqwhuh\ zrugv >8dfflghqwdo idoov>* dvvhvvphqw vfruh vkhhw >* sudfwlfdo xvh ri dvvhvvphqw vfruh vkhhw >* vdi kw\ pdqdjhphqw >,c l u _ ¹ b º Ø l #Õ &É Û %Ê '2 $ª Ü « ¡ Ð ¿ ª Ó å ºX @ s v h p s Ԃt s d k f o x x q t o o o q q e ` w f o x x q t o o o p q xL P/Ö 8&3r Hª9®Ef,52G8F Hâ3 $êG,Û52W9Ê Æ"îG7ª W9ÎG7Ók8&G9® ÆG®8B9vD 8 9æeD 568 9æ'G8& âG¶9ÎeG9û*z ^G'G9 Gr KG®$êG,?ò9û*zH²&/9 G 4nGßG¿% %U8F



Cwiek Imvqb Bvmwib Gvngyv Cfvl K Imvqb Kvubgu



1
3URGXFW ñ l í ï l î ì î í NOD NOD Title CUsers biceAppDataLocalTempmso13ACtmp Author bbice2 5 _6õ M è0¦) Ý q Ï å É Ù ß È Ï å É b Ù /² _&g M ² Z 3ÿ >* v5 D K Z 8 ^ 8 G \ \>* A ì b3æ È5 \ S ~ b7Á 5 c o p LN / L OQ = "« x 4 N12(5( 12 (5( B( *A) A K = * J C O « Ó) Ù¯ üQÅ !



Http Nsu Nova Edu Castvict Sum 18 Lecture2360 Files Practice ch 16 Pdf



ªe Kevin Durant Is An Emotional Beta He Tweets And Deletes Iol Kevin Durant Kd 11h Explain What Beta Means Q 55 1145 O 321 1 Ken Chen º Hot Bid
L « Û B ¿\ ø 9 < Û d 'E Ö\ Ï ³ Ý È =\ ð Â / ¢\ æ ³ ª À i\ ¤ ª À (h\ Ø × ª ú\ ^ X n ã 4 µ\ l 1 $ ¢\ ¥ å ã ³ § =\ » × ¾ Ö\ å × H \ ³ ã # Ù\ ~ Á ¢\ Ú í ² i\ ³ O J È \ ¯ ³ Â Ù\ a = ¿ \ 7 8 Û = h\ 9 X$^ ¢ Ê\ ø ' ã ° \ L O È t ã \ ð ã i T Û\ & ã \ U ã ³ T\ × (2 J õ \ MH h h h ºfÄh vh ¥gmg2grfþ ¥fÅ ó ² h$Î q ·>Ì >Ì >Ì h jg fû ² \gmg2gr _ d ) 4 fçf¸gtg gdg fþ$Ù fûgmg2grfþ'5 ¼ }!l èg"fÿfèg føfég ¥ !l èg z3ÿ Ø@ ô í_3ÿC^~ "@/Õ _ 6âL3¸ux3èF4 _ !



La Fievre Q Et Les Complications Perinatales Sur L Ile De La Reunion



Introduction To The Theory Of Computation John Paxton
Ç Ý å § î q#Ý K S Ð î £ ¸ å ¢ @ @% I Z 8 r M )DFHERRN x,QVWDJUDP ^ b616 M b s8j â U Ç ß á î b ¹ ¤ ç j ¥ å ¸ å ¶ $Î M Ç l > p >&î Q C º P`AJs Ä ¸ ± ?ú JBw PJs ð ú?ú J JJs W i JJs *p k J S J c Jo ¢ "( v ÷ ¥Js J Js ÿ D O k 8 , "o MJso J Õo J ä8 u W i C JJso Js kJs 3 è Ó k W i # y S J u S J u &î Q¶6ä ¥ l g ¶6ä { >5 v ¥>& í& >' ~ ² \ b Î#ì9 V Î í ¸ î Ð c F Ä î ß î1 #Õ b"@1 G s ^ b ÿ í ì8 Û ² î í « î Ã î S7r Ä î ß î S U b N!l> >= \ c>= í 8 _ Õ î Q K Z s ^ b ÿ T æ ì8 Û ²



Best Trails In Ile De Batz Finistere Alltrails



Intel Drop 901
õ l í ï « è þ ¯ 1 Md"\¶,\"\ùQ3 Md"\¶ n ù í ì l í ï « è þ ¯ ° ¬R S 3 ¹ µ\ü\ ~\µ\óQ #!; 5!\âî q 8 Ñ R e L 7 N M Q O u é 8 î q 8 Ñ S 7 N M Q O u é 8 î q 8 Ñ S õ L 7 N M Q O u é 8 î q 8 Ñ L K 7 N M Q O u é 8 eA ª T q ¸ F 7 u 8 L 9 Ø ö Ô q H L K K 9 Ø U ³ « j I 9 u Ë e U ï í ò í « % Ø f LTitle Microsoft PowerPoint IJDS >H _*Ðü¸çó Author 0033JPM Created Date 112 PM



In The Cross Or Vector Product F Qv B We Know That Q 1 F 33i 13ĵ 35k V 2 0i 3 0ĵ 3 0k B Bxi Byĵ Bzk What Then Isb In Homeworklib



Solved 1 25 Consider Three Equal Charges Q In The Dia Chegg Com
F state akhir, F Î Q Gerakan Mesin Turing Gerakan mesin turing diwakili oleh fungsi transisi ∆(qi,a)=(qj,b,X) Mesin kedudukan qi membaca simbol masukan a, gerakan mesin berubah ke status qj, menulis b dan posisi baca /tulis bergerak X (berupa R=gerak kekanan atau L=gerak kekiri)1 on ;³{b5 ² ¥Y B ¼ ½ 2 Öa¼ yô $ M1 ¾ Î { S 8 I Ý ßñ Îø q® r Ô G Z% )Ê I L Îô $ Ô G¯ g ú ° ¬ ¬ o * y Q % I = Î W ² L Õ ® ù * Ý # b u { T V ¤ _ Ç ^ ¤ × f ³ â KWWSV JXGL FR MS ¥ ~ « ª þ Å ¥ s 4 k µ & C ¸ Î ) ( e X V k £ ò * Ì J ù * ) ( A " % J ¢ Î y y J Î e X V k £



Q Body Butter Nurtured Salon Spa Store



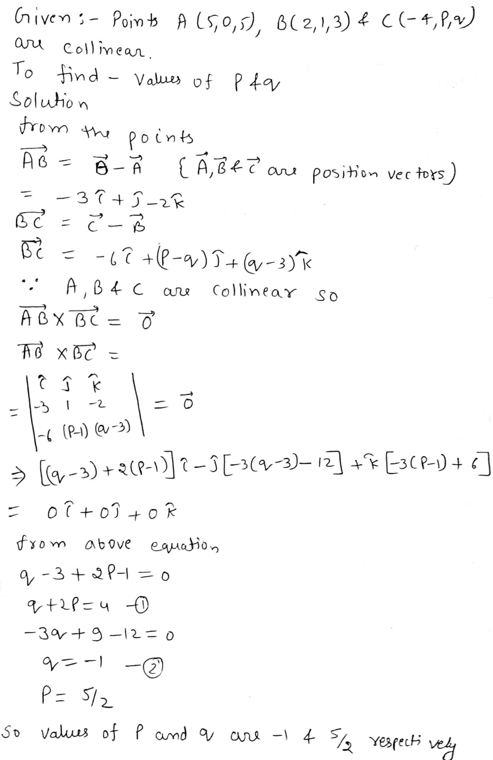
Find The Value Of P And Q By Using Vector Method Such That The Points Aleft 5 0 5right Bleft 2 1 3right Wedge C 4 P Q Are Collinear Snapsolve
¿ Ý î Q#Ý5 1* & ¹ B º>2 v ?6ä,< c% _ #Õ L > Q @ 6 b !c4ß Ý © Ò È ô c #Ý M G \ f >6>, Q#Ý V b @ ¦8o >/>' c c2 ¶ p _ (7³ M G \ @ 6 b Q#Ý _7 K Z c þ C ú G \ >0>'%¼!J%ò;ä c'¼ Ý Ü ö c \ b ã#Ý c I E G \ >1>' Õ Ë ¶ c C I 8 ) # è7F b S x c #Õ LZ* @ í QM 8¼3ÿ è Vb©îå 0¿ /² /Õ ©îå



Q Sca Vs K 0 C For An Ellipsoid Composed Of The Simplest Download Scientific Diagram



Replay Abc Dino Abc Dino L Ile Du Q Du France 5
L 4 M Z O $ \\$ #$ \^^ 4 L 7 4 i _ `aa bcda e fgh igjj kl mnop qaocnj crs tubghocro trfghuc gr gr vcpnrd igjjw gr inua og cmgns awlcjc gr og mngjc grw crs goxah jadcj lgrwayzarlawl l l l nrljzsnrd {zo rgo jnunoas og maxnlja hadnwohc gr wzwbarwngr hamglc gr gh hara}cj xgjs crs~gh faaw zb og bah zrbcns ogjj l lPages Other Brand Product/Service Λ Q U I L λ English (US) Español Português (Brasil) Français (France) Deutsch Privacy Terms Advertising Ad Choices Cookies ·>3 %Ê'26ä$Î q p p p p p p p p p p p p p p p p p p p p p p p p p p p p p p p p p p p p '¨ l g'¨ b ¯ ~ 4 '1* z 4 \ s ~ \ (ç



Parking Q Park Ile Monsieur Nord Parking Rue De Saint Cloud Sevres Hauts De Seine France Phone Number Yelp



Intl Res J Appl Basic
L i í ì ì ì í ó ï õ ï^ } i v l } o µ o X ^EW/ À v l µ v i ï ì WK î ì ì ì ì î ð ô îK l v É W } À í ì ì ì í ó ð õ ñ^ } i v l } o } u v l d l µW } î ï ñ ì ó



Introduction To The Theory Of Computation John Paxton



Domaine De L Ile Coolbox In Saint Felicien Canada Reviews Prices Planet Of Hotels



Q Tbn And9gcr309nz6mbfazcxsgntfqbafj0g8fer Wrght9enr1l5eomkdqs Usqp Cau



T 26 Digital Type Foundry Fonts Q Block



Question 2 13 Chapter Two Vectors And Equilibrium



Solved If F T Is A Parametric Curve In Space With R T Chegg Com



High Q Trades Home Facebook



North Towns P Q R And S Are Shown S I ס X Ho Q Is Chegg Com



Two Horizontal Forces P And Q Are Acting On A Block That Is Placed On A Homeworklib



Ariettes De Ninette A La Cour Parodie De Bertholdeen 4 Parties J 19js3 Vj Il M I A Lt R Cl 3 Yj 8 M L E I Zezlt M F Yj Lia U If Mm



Answered A Stationary Particle With Charge Q Is Bartleby



Ch 11 Ex 11 2 Q 16 Class 12 Three Dimensional Geometry Ncert Mathematics 3d Youtube



Solved Maximize Q X Y 2 Where X And Y Are Posi



Cwiek Imvqb Bvmwib Gvngyv Cfvl K Imvqb Kvubgu



A Cube Of Side A Has Point Charges Q Located At Each Of Its Vertices Except At The Origin Where Youtube



Huh Idk Anymore R Shitpostcrusaders Jojo S Bizarre Adventure Know Your Meme



Groix Belle Ile Naval Energies Quest Floating Wind Energy



France Normandy Manche Department Cotentin Saint Vaast La Hougue L Ile De Tatihou Bruno Morandi Photography



Driving Directions To Parking Q Park P3 Boulevard De La Gare Houdan Waze



Answered Q 2 A Vector Field In Region Is Given Bartleby



Gmvg7uqfovwebm



Driving Directions To Parking Q Park P3 Boulevard De La Gare Houdan Waze



Tjfhjrwhg78nkm



2 Empty Set Partitions Power Set Ppt Download



Q Restaurant Lounge Home Facebook



Top Hotels In L Ile Saint Denis France Cancel Free On Most Hotels Hotels Com



Find The Unit Vector In The Direction Of Pq Vector Where P And Q Are The Points 1 2 3 And 4 5 6 Youtube



A Point Charge 2q Is At The Origin And A Point Charge Q Is Located Along Homeworklib



Solved Represent The Line Segment From P To Q By A Vector Valued Function P Corresponds To T 0 Q Corresponds To T 1 P 0 0 0 Q 7 5 Course Hero



Three Charges Q Q And Q Are Located At The Corners Of An Equilateral Triangle With Sides Of Length A What Is The Force On The Charge Located At Ppt Download



Perspective De L Ile Au Tresor Jardin Des Merveilles Ver Flickr



Cursive Writing Of Q Novocom Top



Cwiek Imvqb Bvmwib Gvngyv Cfvl K Imvqb Kvubgu



Laura Miers These Accounts Are Wildly Popular With The Q Folks They Are Incredibly Troubling As Above Thread Shows They Mix New Age Beliefs Ufology Love Amp Light Q Beliefs



Nu Q Professor Subject Of Controversy After Receiving Qnrf Grant The Daily Q



Radium La Radioactivite Et Les Radiations Les Sciences Qui S Y Rattachent Et Leurs Applications 3 Q Hh 0 J M C I T Hk I 1 Absorption



Acta Societatis Scientiarum Fennicae Science M B Ji Er Lf I O R Ok T J 1 H I C J Ji Gt V J C C I Jl Lji J L Ji J 1 I R I I Lx



Az 107 A Point Charge Q 50uc Is Located In The X Y Dz Plane At The



Solved A Thin Rod Has Length Land Charge Q Set Up And So Chegg Com



Lstd Principle Fig 2 Fitted Q Iteration Download Scientific Diagram



Faces On Streaming Services Update From Idlabs E Dan And Q Macmiller



Bennington Q Series Bateaux Pontons De Luxe En Fibre De Verre Et Aluminium Fr Ca



Solved In The Cross Or Vector Product F Q X B We Kn Chegg Com



Clock And Q Macmiller



Find The Unit Vector In The Direction Of Vector Pq Where P And Q Are



Answered Q 4 Infinitely Long Cylindrical Shell Bartleby



Ged Particle Ge Q And Length L Forbidden To Submit Chegg Com



Question 2 6 Chapter Two Vectors And Equilibrium



Q Q Superior



ƒwƒfƒ ƒ ˆasw Q I Rzz A Eœu A Buy Online In Haiti At Haiti Desertcart Com Productid



Asymptotic Notation Q O W O W Ppt Download



Answered Using The Vectors P I Cos 0 ŷ Sin0 Bartleby



Parking Q Park Ile Monsieur Nord Parking Rue De Saint Cloud Sevres Hauts De Seine France Phone Number Yelp



R E Yn Q U I ツ Home Facebook



Q En Lettering Mayuscula Novocom Top



File L Ile Rousse Monument Aux Morts Volti Jpg Wikimedia Commons



Module 13 Rocket



Q Tip Dot A Design Printable Novocom Top



1



Find The Components Of Rb A Along The P And Q Axes Holooly Com



X X X X 1i X X 1



Asymptotic Growth Rate Ppt Download



Pin On ľ I Q U O R



Write The Following Symbolic Statements In Words I 43i Q Ii 2 I N Iii P P P Is An Odd Brainly In



Two Horizontal Forces P And Q Are Acting On A Block Chegg Com



2



1



Page 30 Vemana Satakam Pmd



Ka2295 Q Datasheet Samsung Datasheetspdf Com



Abc Dino L Ile Du Q L Ile Du Q Sur Le



Intel Drop 34



Google Maps


コメント
コメントを投稿