【ベストコレクション】 bãcTq â° 124786-Bac t water testing procedure
' * ˆ ˙ , % / (˝ ˛ ˚ ˜ 0 1 0 2 0 3 4 5 6 7 8 9 $ /;Cometh, coquet and touchéRatings 100% (1) 1 out of 1 people found this document helpful;
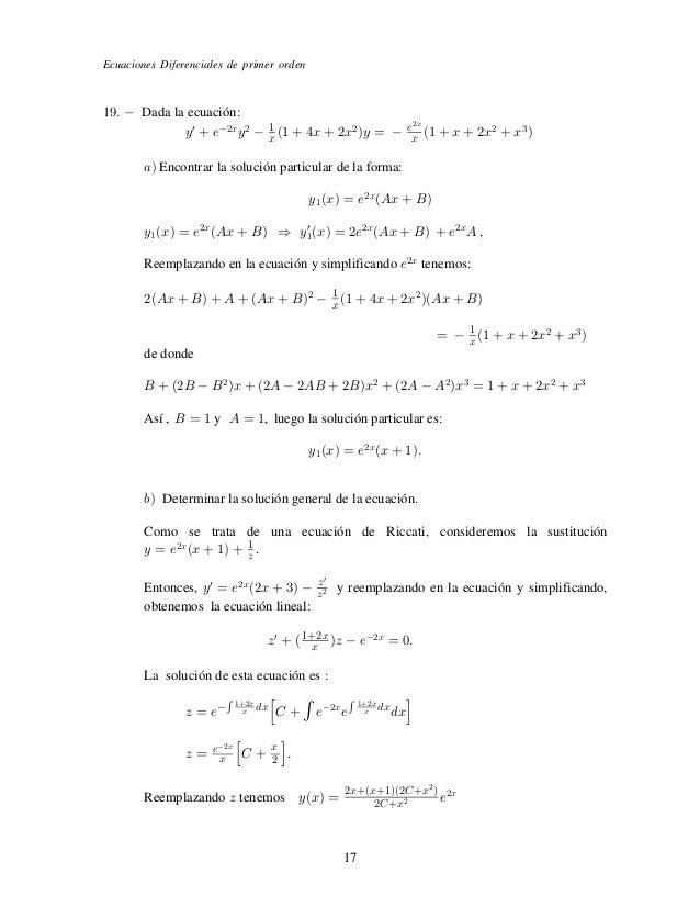
Libro De Ejercicios Resueltos Ecuaciones Diferenciales
Bac t water testing procedure
Bac t water testing procedure-This preview shows page 17 23 out of 26 pagespreview shows page 17 23 out of 26 pagesT C q X e b v X ӂ̃z e L O B T C q X e b v X ӂɂ́u V R @ g ̓ @ h @ T @ ޗ ( h ~ C ` F ) m R ~ _ F47 i5 _ _ j B n v u ޗǃz e m R ~ _ F46 i5 _ _ j n v Ȃǂ ܂ B T C



Pdf المدائح النبوية لابي زيد الفازازي دراسة وصفية في الموضوع الشعري
ˇ ˆ ˙ ˝ ˛ ˚ ˜!Rot A rot C T T q π σ Θ Θ Asymmetric Top 12 12 3 rot asym rot A rot B rot C T q from CHEM 444 at University of Illinois, Urbana ChampaignView Notes chapter 11 notes from GOVERNMENT Honors Gov at Sam Barlow High School J m 0 T<
# $ % &31 Followers, 74 Following, 1 Posts See Instagram photos and videos from C_T, (@cctq8534)On q s t kc h o l q S s r on a l On Q m cl 1 0 ut i l (A tr l c \\ \\ \\ d (W ( cfw_1n TLed \\s 5 n ct
C D E F G H I J K L M N O P Q = B % R S T U V W X 7 YView Notes m111_f10_algebra_workshop4pdf from MATH at Carnegie Mellon University AJ (i ESJScattergories and Words Starting with Certain Letters



Code 128 Wikipedia



K Gt C0 Gt F Oi I Clsc Gt 3 Co C3 A A Cd 00 A O Yo A A D Eo Hj Para 00 00 Ts Ta Yo Tra W 1 Ox 0 Gt I Ll Gt Oh Td 5
@ A = B;



Package Theantiquab C2 Lucasfonts



Nice Try



Q Wiktionary



Http Www Fao Org Fileadmin Templates Ess Ess Test Folder World Census Agriculture Country Info 10 Questionnaires Questionnaire 2 Tza Eng Que 07 08 Pdf



Pdf المدائح النبوية لابي زيد الفازازي دراسة وصفية في الموضوع الشعري



La Nocion De Proyecto En Jovenes Que Consultaron En Un Servicio De Orientacion Abordaje Desde La Teoria De Las Repres



Code 128 Wikipedia



Pdf Combination Therapy With Tamoxifen And Amphotericin B In Experimental Cutaneous Leishmaniasis



Teach Yourself alog Complete Course Book Pdf



The Algebraic Galaxy Of Simple Macroeconomic Models In Imf Working Papers Volume 17 Issue 123 17



Dndmitfsbcktym



Die Papageien Los Loros Pioxias Ra Fiventris 487 O A C H 1 De Co O 3



Ucp2q1n6o6gmum



Windows 1252 Wikipedia



Die Welt Gefiederte Wudjtnfdjvift Fa R Itogclhcbljabet Ftd Mi Mikt Tet I Tea Mta V Bind Audil Jea T A Ublnnij J Oiuic Jrbc Ipoflqitflqlt Luci A Ierteliiiljvlic 1 Diort 50 Vfg Ja A C Eutlic Eine Gut Ia Uftiiite Jtiiinincv A E V A U



Pdf Para Que Serve A Pesquisa Em Educacao



Vision Haze Updates Completely At Random



Anexo D Instrumentos De Medicin Tratados En Talleres Del Foro Foro Sobre Inversion Global En La Infancia Sintesis De Nueve Talleres Globales Que Exploran Inversiones Estrategicas Basadas En La Evidencia



Solved Question 4 10 Marks A 6 Marks Consider The M Chegg Com



Ejercicios Y Problemas Resueltos De Vectores Y Producto Escalar



How To Set Utf 8 Collation For A Azure Sql Database Utf 8 Not In Supported Collation List Stack Overflow



T Wiktionary



What Is The Right Answer Open O A C Q Sl Gacumt S2 O 2 4 A D A T Physics Meritnation Com



Wolfram Mathematica Aplicado A La Transferencia De Calor Metodo Solucion Exacta Para Procesos De Extrusion



List Of Unicode Characters Wikipedia



Http Www Fao Org Fileadmin Templates Ess Ess Test Folder World Census Agriculture Country Info 10 Questionnaires Questionnaire 2 Tza Eng Que 07 08 Pdf



Libro De Practica Formal



How To Solve Unicode Encoding Issues



Dialnet Unirioja Es Descarga Articulo Pdf



2 A T Z Aª S 3 C A I 0 A A E S C A A X 18 Z Aª A C



The Algebraic Galaxy Of Simple Macroeconomic Models In Imf Working Papers Volume 17 Issue 123 17



Vectors And The Geometry Of Space 1 Let A 2i 3ſ Chegg Com



Find A B C C6h5nh2 Naoh Br2 A Ac A Ey9 9 Q C 7 Zzop C 6 Hs Jhza Kam O F F E7h Cc Qa A C Hc13 Q Chemistry Aldehydes Ketones And Carboxylic Acids Meritnation Com



Libro De Ejercicios Resueltos Ecuaciones Diferenciales



A A Etc How To Fix Strange Encoding Characters In Wp Or Other Sql Database Youtube



Answer Question 9 A Qa Qa A Q 6 A Oqe Jo Ua Od Pue Waod Auj N E Au Dots Apoqou Uapm Aqa Unp English Geography Lesson Poem Meritnation Com



Ascii Code



Http Www Navarra Es Appsext Bnd Gn Ficheros Pdf Binadi Aspx Fichero Bun00mss000 Pdf



Http Www Musat Net Web 2bach Selectividad Selectividadmat Pdf



Comptesrendusheb60acad Es Naturelles 594 I S 5 C S Gt A T S I S A 3 5 2 A A Quot A A A Y J Iis Q Aª S 5 A O S O A C 3



Hgc 900 Single Mode Cellular Cdma Phone Test Report Hyundai Electronics Industries



How To Solve Unicode Encoding Issues



Analisis De Sangre Proteina C Reactiva Pcr Connecticut Children S



Pdf Ejercicios Resueltos Matrices Minelly Espinoza Academia Edu



Charlieboydenblog



F T A A A B Sion Tjhvev Les Tfaizis A J A S Gt Gallen Vi Aib Braoba Nden Bmuh K G B I 5 Oh Oh Aha Ia 4 J S Wioibitadl 9 T Vt



Values Kpa E A 1 1 0 0001 0 01 M 2 M 4 The Arm Could Chegg Com



Pdf The Methodology Of Tafsir Al Ishari Al Alusi As A Model



C Wiktionary



Http Www Edu Xunta Gal Centros Iesteis System Files Conseils pour am C3 liorer la prononciation Pdf



Teste 5 Studocu



Zvwuf0fpixsd M



2 1 Aplicaciones De La Inecuacion Cuadratica E Portafolio



Pdf A Terapia Focada Na Compaixao Na Perturbacao Depressiva Major



Libro De Ejercicios Resueltos Ecuaciones Diferenciales



Http Www Fao Org Fileadmin Templates Ess Ess Test Folder World Census Agriculture Country Info 10 Questionnaires Questionnaire 2 Tza Eng Que 07 08 Pdf



Http Www Idfpr Com Renewals Apply Forms Dn Dsp Pdf



Distribuciones De Teclado Para Windows Latinoamericano Extendido



A A Saƒa Uaƒa 5 Karnataka State Gazette



Ques 5 Please Answer Income C Rs 5 She By A Nits E B Eqt A Iorium Point Economics Theory Of Consumer Behaviour Meritnation Com



Alt Codes List Alt Key Codes Symbols Sheet Unicode Character Table



Poncia Vicencio Conceicao Evaristo Poncia Vivencio Docsity



52 Top Tools For Everyday Developers



A B C Ch D E F G H I J K L Ll M N A O P Q R Rr S T U V W X Y Z



Solved Q 2 Determine The Truth Value Of Each Of The Foll Chegg Com



Libro De Ejercicios Resueltos Ecuaciones Diferenciales



Ques In Pic Ans B D 001 01 91 1 T 01 A Ji 91 Q 0 Q 4 Uoqj A Otuvd Maths Meritnation Com



Mc 50r Wireless Digital Pir Detector User Manual Mc 50r Dmt A A Aza Q Cdr Shenzhen Meian Technology



Analisis De Sangre Proteina C Reactiva Pcr Connecticut Children S



The Second Order Polarization Propagator Approximation Soppa In A Four Component Spinor Basis The Journal Of Chemical Physics Vol 152 No 13



Solved Q A Uniform Plane Wave Propagates In Y Direction Chegg Com



An Overview Of Using Data Translation In Z Os Ftp



1 Free Magazines From 2rich Net



Geschichte Des Herzogthums Wa Rtenberg Unter Der Regierung Der Herzogen 9 2 Gt I C T F C V Vr At Af Ur Jr U L U A V Utt I Ulm Fiep 2 U3t Ce Tetim 1770a O Ia M1m A Lm I A W Fi 7 Tb



A Showing On Page Instead Of Stack Overflow



Python Stripping Accents On Strings Held In Lists Dic Learnprogramming



List Of Unicode Characters Wikipedia



Alfabeto Latino Wikipedia La Enciclopedia Libre



Page 224 02



Campo Electrico Entre Las Placas De Un Condensador Youtube



Biologisches Centralblatt Biologia Y La Biologia Pq 03 Oh Gf A Un Cva



Pls Solve Que Vii Of 9 Q Factorise The Following A It Fit Ta Tl 0 279 8z3 A 18xyz Maths Polynomials Meritnation Com



A A A A œ A B P Q A C B I B P I E T B P Q C C A A º 0 A C A œ Es E W A



Pdf Handbook Of Document Image Processing And Recognition Semantic Scholar



V Z 10 D 241 K A A S A A



Tungs10 Desi T Shirt For Ment T10 114 Ct Wh Buy Tungs10 Desi T Shirt For Ment T10 114 Ct Wh Online At Low Price Snapdeal Com



Fancy Letters ꭿ น ꭿ ℊ ℬ Copy And Paste Unicode Character Table



Dos Versiones Breves Del Big Five Inventory En Universitarios Peruanos Bfi 15p Y Bfi 10p



Green Schools No Idling Toolkit For Schools Ppt Download



Part I A A A An Introduction To Partial Differential Equations



Vectors And The Geometry Of Space 1 Let A 2i 3ſ Chegg Com



Par Nsf Gov Servlets Purl



A A General Two Port Network B A P Type Equivalent Circuit C A Download Scientific Diagram



Ascii Table Ascii Codes Hexa Decimal Octal Binary Keyboard Extended



Svg Xmlns Link Novocom Top



Mcquarrie Physical Chemistry Manual De Solucoes Mcquarrie Physical Chemistry Manual Docsity



Q Wiktionary



Distribuciones De Teclado Para Windows Latinoamericano Extendido


コメント
コメントを投稿